avatar
文章
129
标签
18
分类
12
友链
21
首页
时光轴
分类
标签
友链
知识库
更新
Logocoperlm's Blog马原学习笔记
搜索
首页
时光轴
分类
标签
友链
知识库
更新

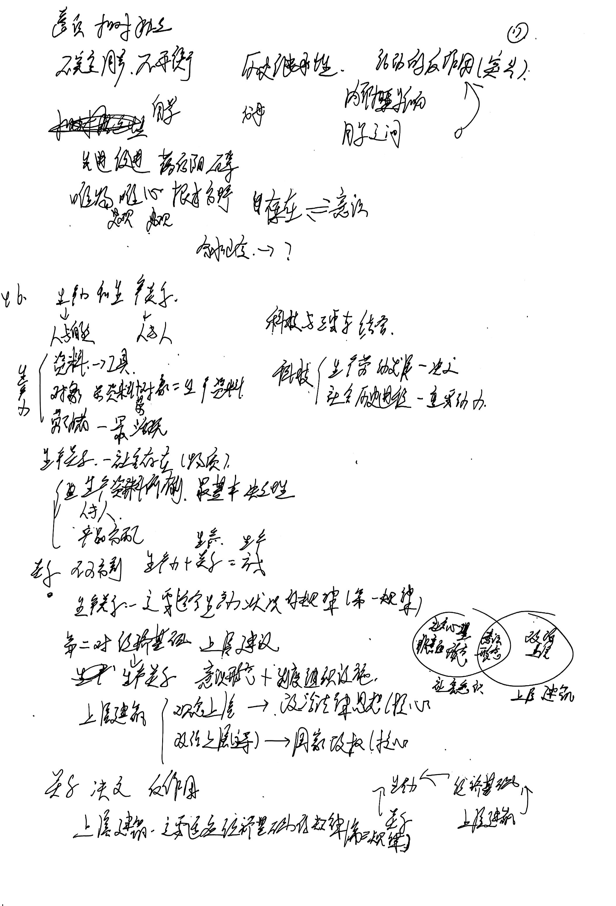
马原学习笔记

发表于2025-08-18|更新于2025-10-23|考研
|总字数:0|阅读时长:1分钟|浏览量:|评论数:

文章作者: coperlm
文章链接: https://coperlm.github.io/2025/08/18/%E9%A9%AC%E5%8E%9F%E5%AD%A6%E4%B9%A0%E7%AC%94%E8%AE%B0/
版权声明: 本博客所有文章除特别声明外,均采用 CC BY-NC-SA 4.0 许可协议。转载请注明来源 coperlm's Blog!
考研政治
cover of previous post
上一篇
中秋夜赋
...
cover of next post
下一篇
“我们输不起”:毛泽东否定“否定之否定”的实践论重释
摘要: 关于毛泽东为何在晚年明确否定“否定之否定规律”,学界的主流解释倾向于从哲学本体论的层面,将其视为对黑格尔唯心主义的彻底剥离和对马克思主义唯物论的深化。这一解释虽具理论深度,却在一定程度上忽略了毛泽东作为革命家和战略家的现实处境。本文旨在提出并论证一种补充性乃至更具根本性的解释框架:实践论重释。即,毛泽东的这一理论抉择,其最深刻的动因并非源于纯粹的哲学思辨,而是植根于中国革命“低容错率”的残酷现实,是他作为最高统帅,在无数次血与火的考验中形成的“风险规避”和“责任优先”的思维原则的哲学升华。 关键词: 毛泽东;否定之否定;实践论;中国革命;风险决策;教条主义 一、...

评论
WalineDisqus
avatar
coperlm
文章
129
分类
12
标签
18
友链
21
最新文章
AES学习笔记
AES学习笔记2026-02-24
我也是有知识库的人了
我也是有知识库的人了2026-02-20
我要用Zettlr的单文件模式这么费劲
我要用Zettlr的单文件模式这么费劲2026-02-14
CachyOS下Flatpak版Obsidian输入法候选框错位问题
CachyOS下Flatpak版Obsidian输入法候选框错位问题2026-02-14
我要用linux参加腾讯会议
我要用linux参加腾讯会议2026-02-14
©2024 - 2026 By coperlm
框架 Hexo 7.3.0|主题 Butterfly 5.3.5
搜索
数据加载中