JesseQ第二次组会讲解
继续上次的内容,具体讲JesseQ的算法
(上次的内容是前情提要,本次的内容全部建立在上次的基础上,主要体现在差异点)
文字部分是对PPT的补充


上次组会我是按直接运行2PC来理解的,但是实际上用到的是一个名为OT的东东,好像是叫什么不经意传输,反正可以当作可信第三方来用

JesseQ提出了三个这个\(\mathcal{F}\)的东东,其中\(\mathcal{F}_{qsVOLE}^{p,r}\)基于QuivkSilver模型,而又是JQv1和JQv2的基石

这是JesseQ的,前面的方案不一定这样更新





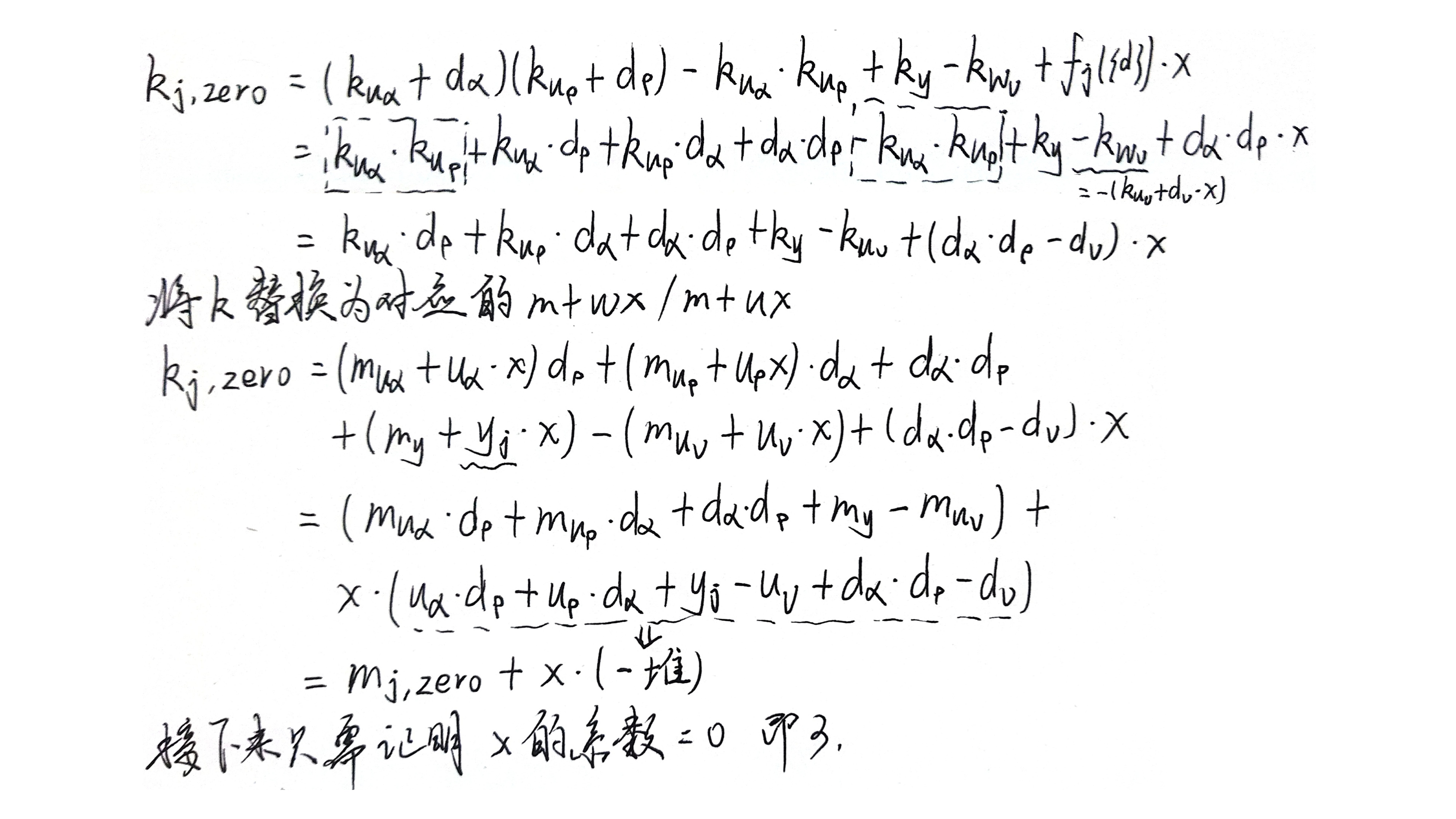
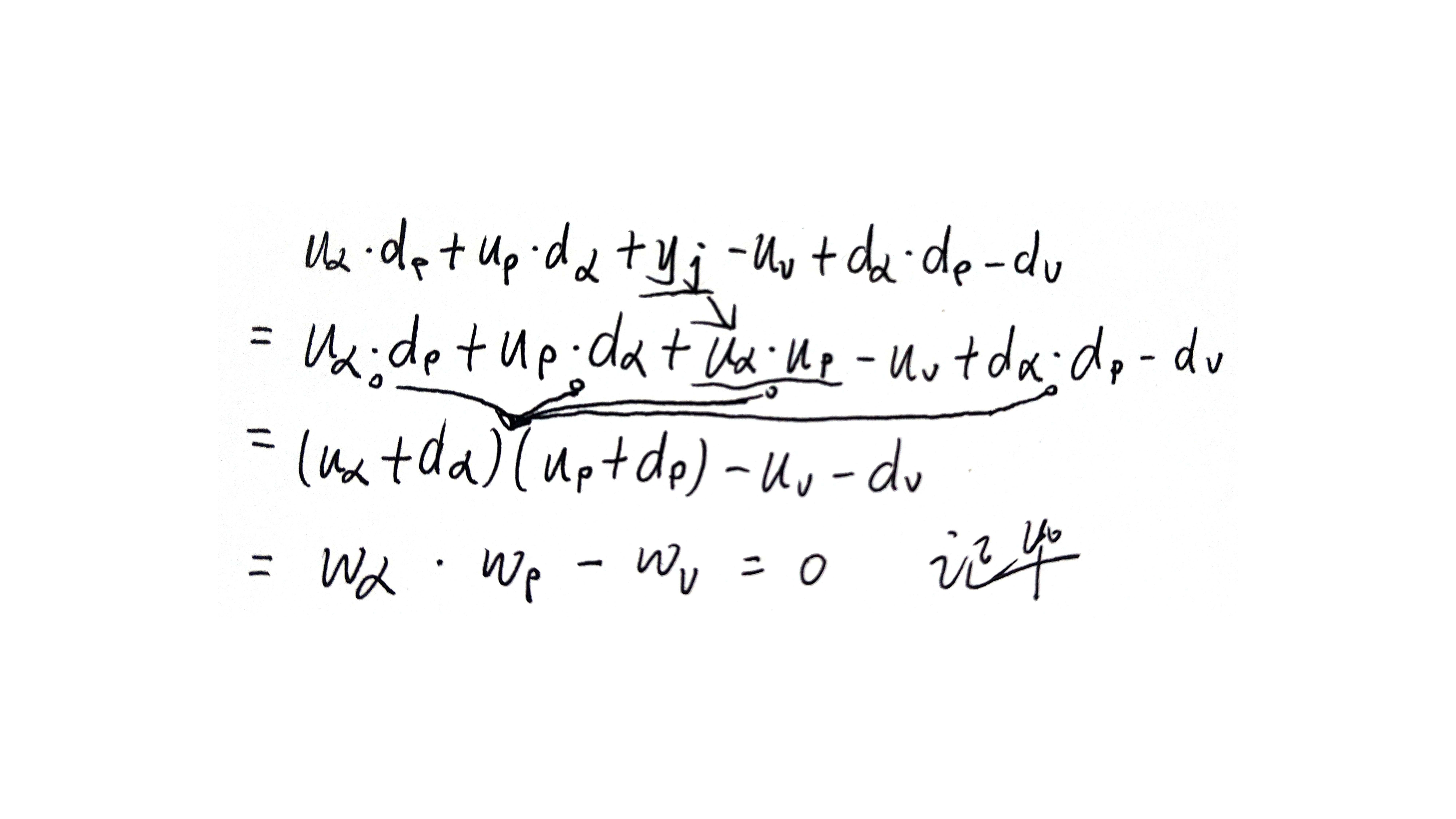
其实我也不知道他的式子怎么来的,但是看起来确实是正确的-并且作者也没有给正确性证明,故我这里用乘法门手动推了一下



这是一点小感悟,但是不知道如何优化~

这是我第一个idea,最终被证明不行了
该方案在正确性和安全性(零知识性与健全性)方面是可以保障的,但在效率上难以优于现有方案。
具体来说,对于 d=w−u,原方案中 u 由随机数生成器产生;若令 d 由类随机数生成器产生,则需要在在线阶段对 IT-MAC 进行额外绑定,因此整体效率不可能优于 JesseQ 论文中的方案。





然后这是另一个创新点,最终发现没什么意思,做起来不太划算





最后一个创新点,用TEE实现公开验证,但是比较草率

后续工作打算把那篇美密关于VOLEitH看了,在具体决定这个值不值得做