跳转至
Coperlm的芝士库🧀
高数-02-数列极限
正在初始化搜索引擎
GitHub
主页
A 密码学科研
B 计算机考研
C 嵌入式
D 学习工具与技能树
E 生活类
F 人工智能
G My Idea
Z 其他
Coperlm的芝士库🧀
GitHub
主页
A 密码学科研
B 计算机考研
B 计算机考研
408
数学
数学
高数-01-函数极限
高数-02-数列极限
高数-02-数列极限
目录
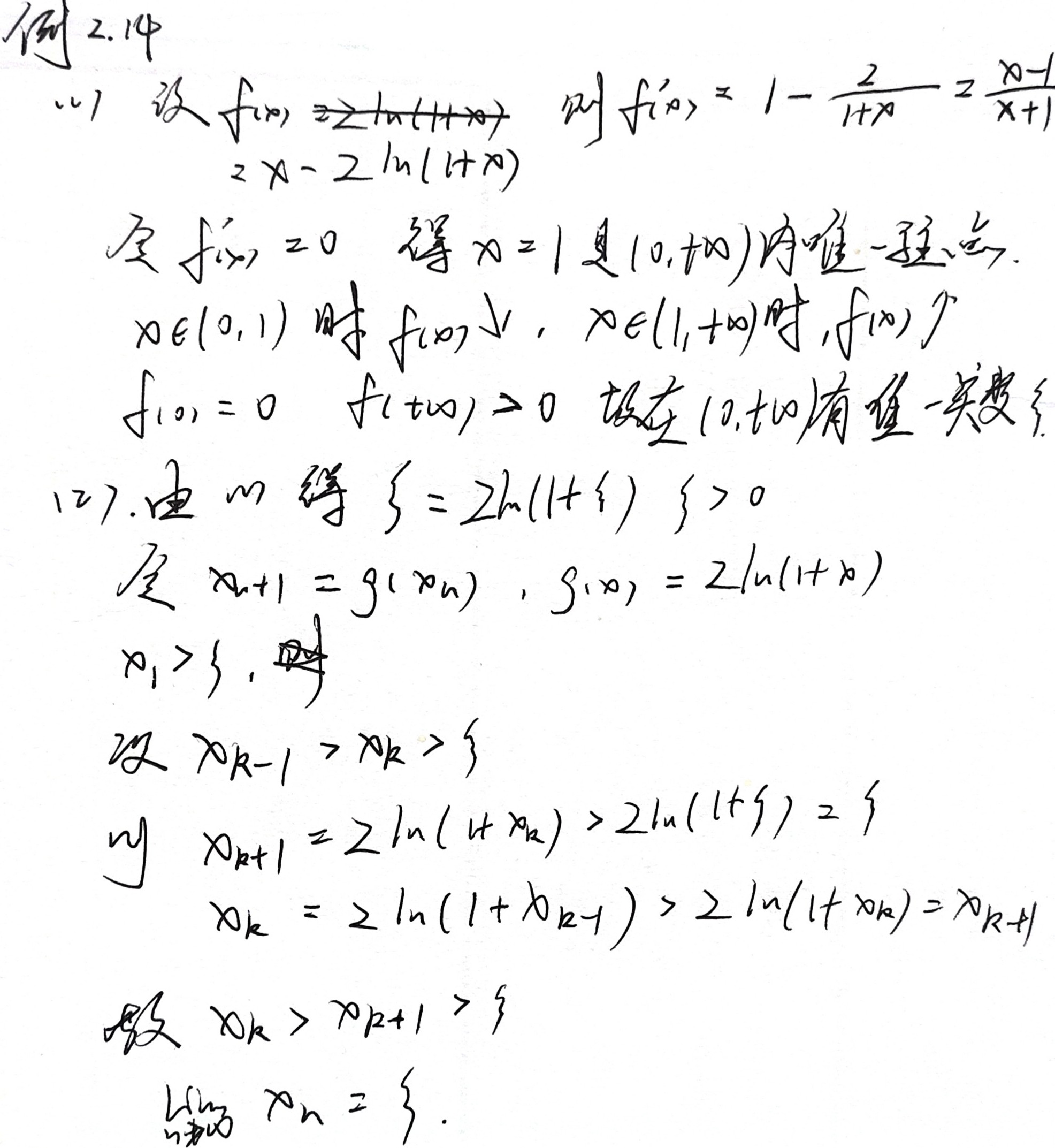
夹逼准则
单调有界准则
课后习题
高数-03-一元函数微分概念
高数-04-一元函数微分计算
高数 05 一元函数微分应用
英语
C 嵌入式
D 学习工具与技能树
E 生活类
F 人工智能
G My Idea
Z 其他
目录
夹逼准则
单调有界准则
课后习题
主页
B 计算机考研
数学
高数-02-数列极限
夹逼准则
单调有界准则
课后习题
回到页面顶部