1-从零学习人工智能
我选择这个课程,是因为我需要一个覆盖面很广的课,先广而后精
引入
人工智能在实现方式上分为符号学习和机器学习,机器学习分为监督学习、非监督学习和强化学习;深度学习属于机器学习
人工智能的分类(技术范式演进(核心内功) + 应用模态(感知外功)的二维分类法)
第一维度:核心技术范式(内功心法)
这是AI的“大脑”和“底层逻辑”。学习时建议按此顺序进阶,因为后一种技术往往建立在前一种的基础之上。
1. 符号主义与逻辑推理 (Symbolic AI / Logic)
这是AI的早期形式,基于明确的规则和逻辑符号。
-
核心概念:知识图谱 (Knowledge Graph)、专家系统、逻辑推理、搜索算法(如A*搜索)。
-
学习重点:适合理解如何让机器进行推演,目前在需要可解释性的领域(如医疗诊断辅助、法律推理)依然重要。
2. 传统机器学习 (Classical Machine Learning)
基于统计学,让机器从数据中发现规律,而非人工编写规则。这是AI学习的基石。
-
监督学习 (Supervised Learning):给数据打标签。
-
回归 (Regression):预测数值(如房价预测)。
-
分类 (Classification):预测类别(如垃圾邮件过滤)。
-
算法:SVM, 决策树, 随机森林, 逻辑回归, Naive Bayes.
-
无监督学习 (Unsupervised Learning):数据无标签,让机器自己找结构。
-
聚类 (Clustering):如 K-Means.
-
降维 (Dimensionality Reduction):如 PCA.
-
学习重点:数学基础(线性代数、概率论)和特征工程。
3. 深度学习 (Deep Learning)
机器学习的一个子集,利用多层神经网络模拟人脑,解决高维、非线性难题。
-
基础架构:MLP (多层感知机), BP算法 (反向传播).
-
专门架构:
-
CNN (卷积神经网络):主要用于处理网格数据(如图像)。
-
RNN/LSTM/GRU:主要用于处理序列数据(如时间序列、文本)。
-
学习重点:这是目前的主流,重点在于理解网络架构的设计和优化(Loss function, Optimizer)。
4. 生成式人工智能 (Generative AI) & 大模型 (LLMs)
深度学习的最新前沿,从“判别/分类”转向“创造/生成”。
-
架构:Transformer (Attention机制).
-
模型类型:
-
LLM (大语言模型):如 GPT, LLaMA.
-
扩散模型 (Diffusion Models):如 Stable Diffusion (用于生图).
-
学习重点:Prompt Engineering, Fine-tuning (微调), RAG (检索增强生成).
5. 强化学习 (Reinforcement Learning, RL)
独立于上述分类的一个特殊分支,侧重于“决策”和“行动”。
-
核心逻辑:Agent (智能体) 在 Environment (环境) 中通过 Trial-and-Error (试错) 获得 Reward (奖励)。
-
应用:游戏AI (AlphaGo), 机器人控制, 自动驾驶决策层.
第二维度:应用模态分类(招式/感知)
当你掌握了上述“内功”后,可以根据处理的数据类型(模态)选择一个专精方向。
1. 计算机视觉 (Computer Vision, CV)
让AI“看懂”世界。
-
任务:图像分类, 目标检测 (Object Detection), 图像分割 (Segmentation), 人脸识别.
-
前置技能:CNN, 图像处理基础.
2. 自然语言处理 (Natural Language Processing, NLP)
让AI“读懂”和“生成”语言。
-
任务:机器翻译, 情感分析, 文本摘要, 问答系统.
-
前置技能:RNN, Transformer, 语言学基础.
3. 语音与音频处理 (Speech & Audio)
让AI“听懂”和“说话”。
- 任务:ASR (语音识别), TTS (语音合成), 声纹识别.
4. 推荐系统 (Recommender Systems)
让AI处理用户行为数据。
-
任务:内容分发, 广告点击率预测 (CTR).
-
特点:高度依赖稀疏数据处理和大规模工程架构。
工具
- python 不必多言
- matplotlib 画图用的
- pandas numpy数据处理
- anacanda 多版本python,用uv替代即可
- jupyter notebook 运行并共享代码
机器学习
将数据喂给计算机,计算机自动求解
-
监督学习 - 包括正确结果(label)- 人脸识别 - 线性回归,逻辑回归,决策树,神经网络 卷积 循环
-
无监督学习 - 不包含正确结果 - 聚类
-
半监督学习 - 少量正确结果 - 混合学习(无监督+监督)
-
强化学习 - 根据奖惩进行学习 - 下棋
线性回归
回归分析 -> 拟合
梯度下降法 -> \(p_{i+1}=p_i-\alpha\frac{\partial}{\partial p_i}f(p_i)\),\(\alpha\)是步长
逻辑回归
垃圾邮件检测,考试是否能够通过(本质用于做分类的,花一条分界线,把两类数据分开)
检测关键词 -> \(x_i=0\ \text{or}\ 1\)(是否有垃圾邮件的词汇)-> 规约到线性回归里
无监督学习(聚类)
- 聚类(自动分组):K-Means,Mean-Shift
- 降维(数据压缩/特征提取): PCA
- 监督学习(分类/回归):KNN
K-Means(K-均值聚类)
核心: 先定好要分 \(K\) 堆,然后不断调整中心点,直到稳定。(假设数据是“成团”分布的)
工作流程: 1. 指定 K 值: 你必须先告诉算法“我要把数据分成 K 类”。 2. 随机初始化: 随机选 3 个点作为初始的“中心点” (Centroids)。 3. 归队: 算一下每个数据点离哪个中心点最近,就把它划归到哪个队。 4. 更新中心: 队伍分好后,计算这支队伍里所有点的平均位置,把“中心点”挪到这个新的平均位置去。(更新中心) 5. 循环: 重复步骤3和4,直到中心点不再移动。

优点:简单快速
缺点:必须猜到K值,对异常数据敏感
KNN (K-Nearest Neighbors, K-近邻)
核心: 近朱者赤,近墨者黑。把改点染色为最接近的点最频繁出现的点的颜色。
注意: KNN 通常是监督学习(用于分类或回归),而不是无监督学习。
如果你想判断一个新的点 X 是好人还是坏人(分类),你就看离 X 最近的 K 个邻居。 如果这 K个邻居里,有 8 个好人,2 个坏人,那 X 大概率也是好人。
KNN vs K-Means 的区别:
- K-Means (无监督): 只有数据,没有标签。任务是“把数据分成几堆”。 代表“分成 堆”。
- KNN (监督): 历史数据有标签(知道谁是好人坏人)。任务是“判断新数据是谁”。 代表“参考最近的 个邻居”。
使用均值漂移寻找中心

Mean-Shift(均值漂移)
核心: 在雾中爬山,大家往“密度”最大的地方走,最后聚在一起。
工作流程: 1. 滑动窗口: 想象有很多圆形的窗口(Kernel)覆盖在数据上。 2. 寻找质心: 对于每个窗口,计算里面所有点的“重心”(平均位置)。 3. 漂移: 把窗口的圆心移动到刚才算出的“重心”去。因为数据密集的地方点多,重心会自然偏向密集处,所以窗口会往数据密集的地方“爬”。 4. 汇合: 不断重复,直到窗口停留在密度最高的峰值点。最终,爬到同一个峰值的点就被归为一类。
优点: 不需要指定 K 值(自动发现有多少类);对形状不规则的聚类效果较好。
缺点: 计算量极大,速度慢,不适合大规模数据。
需要指定半径
DBSCAN算法(基于密度的空间聚类算法)

有效数据扩展,无效数据(密度过低)舍弃
决策树
核心:通过一系列规则进行分类或回归。

优点:计算量小,速度快,易于理解
缺点:忽略属性直接相关性

常用方法: ID3 C4.5 CART
核心问题的解决方式:当来到一个节点时,我该选择哪个特征(Feature)来进行分裂,才能分得最“纯”?我们把“不纯度” (Impurity) 想象成“混乱程度”。
ID3(Iterative Dichotomiser 3)
核心指标:信息增益 (Information Gain)
原理: 1. 先计算当前的混乱程度(系统熵)。 2. 尝试用“特征A”来切分数据。 3. 计算切分后剩下的混乱程度(条件熵)。 4. 信息增益 = 切分前的熵 - 切分后的熵。 5. 哪个特征带来的“信息增益”最大(即让混乱度下降得最快),就选哪个。
公式(熵):\(H(D) = - \sum p_i \log_2(p_i)\)
致命缺点:ID3 极其偏爱取值多的特征。如果把“身份证号”作为一个特征放进去,ID3 会毫不犹豫地选它。因为每个人的身份证号都不一样,一旦按身份证号切分,每个叶子节点只有一个人,纯度100%,混乱度为0,信息增益最大。但这对预测没有任何意义(过拟合)。
其他局限: 只能处理离散数据(不能处理“身高1.75米”这种连续值),不能处理缺失值。
C4.5
核心指标:信息增益率 (Information Gain Ratio)
原理:它在 ID3 的“信息增益”基础上,除以了一个惩罚项(该特征的固有熵)。如果一个特征取值特别多(像身份证号),它的惩罚项就很大。信息增益率 = 信息增益 / 特征熵。这样就抑制了算法对“多值特征”的偏好。
重大改进: 1. 处理连续值: 它能把“温度”切成“>25度”和“<=25度”,不再局限于离散类别。 2. 处理缺失值: 数据缺了一块也能算。 3. 剪枝 (Pruning): 它引入了剪枝策略,切完树后会检查一下,“这根树枝是不是太细碎了?如果是,剪掉防止过拟合”。
缺点: 依然是多叉树(一个特征有几个值就分几个叉),计算涉及到对数(log),速度稍慢。
CART (Classification And Regression Tree)
核心指标:基尼系数 (Gini Impurity) / 平方误差
既能做分类,也能做回归(预测数值)。
原理(分类任务):它不使用“熵”(因为算 Log 太慢了),而是用 Gini 系数。 Gini 系数代表:从袋子里随便摸两个球,颜色不一样的概率。 Gini 越小,纯度越高。
结构特点:二叉树 (Binary Tree)
CART 永远是二叉树:它会问“是晴天吗?”(Yes/No)。如果是“雨”,它可能会在下一层再问“是雨天吗?”。二叉树结构更简单,更易于计算机实现。
异常检测


高斯分布:3-sigma原则
孤立森林 (Isolation Forest):切割更容易被孤立(适用于高维大数据)
PCA (Principal Component Analysis, 主成分分析)
核心: 降维算法。换个角度拍照,把 3D 的东西拍成 2D 照片,同时保留主要特征。在尽量不丢失信息的前提下减少数据的维度。
桌上有一个茶壶(3D物体)。你想给它拍张照片(降维到2D),发朋友圈让人一眼认出这是茶壶。 - 如果你从壶底拍,可能只看到一个圆圈(丢失了大量信息,方差小)。 - 如果你从侧面拍,能看到壶嘴、壶把、壶身(保留了最大信息,方差大)。 - PCA 就是通过数学方法找到这个“最佳拍摄角度”(主成分),把数据投影上去。
作用: 1. 压缩数据: 加快后续模型的训练速度。 2. 可视化: 把高维数据(100维)降到 2维或 3维,这样人类才能画图看懂。
模型评价与优化
过拟合与欠拟合
核心问题:模型到底是在“学习规律”,还是在“死记硬背”?

欠拟合(Underfitting)——“不好好学习”
- 表现:模型太简单,抓不住数据的特征。在训练集上表现差,测试集上也差。
- 类比:考前复习只看了目录。考试时不管题目怎么变,你都只会写“略”。
- 特征:高偏差(HighBias)。
- 原因:模型复杂度不够(比如用一条直线去拟合抛物线),或者特征太少。
过拟合(Overfitting)——“死记硬背”
- 表现:模型太复杂,把训练数据里的噪声和偶然误差都当成了规律。在训练集上表现完美(100分),但在测试集上一塌糊涂。
- 类比:你把《五年高考三年模拟》的答案全部背下来了。考试时遇到原题你会做,但只要题目改了一个数字,你就不会了。
- 特征:高方差(HighVariance)。
- 原因:模型太强(参数太多,维度高),数据太少,或者训练时间太长。有过多干扰项信息。
解决方法:简化(使用低阶甚至线性模型);PCA处理(降低维度);增加正则化项。


刚刚好(GoodFit/Generalization)
目标:我们追求的是泛化能力,即举一反三的能力。

数据分离与混淆矩阵
数据分离(DataSplitting)
为了验证模型是不是“过拟合”了,不能用训练过的数据来考它。我们需要把手头的数据切分成三份:
1.训练集(TrainingSet)-约60-80%:模型的“课本”。用来计算梯度,更新权重,让模型学习。
2.验证集(ValidationSet)-约10-20%:模型的“模拟考”。用来调整超参数(比如K-Means的K,决策树的深度)。我们在训练过程中不断用它来测试,选出表现最好的模型。
3.测试集(TestSet)-约10-20%:模型的“高考”。模型定型后,最后测一次。注意:在训练结束前,绝对不能让模型看到测试集,否则就是作弊(DataLeakage)。
K-折交叉验证(K-FoldCross-Validation):如果数据很少,不够切分怎么办?把数据分成份(比如5份),轮流坐庄。每次用其中4份训练,剩1份验证。跑5次取平均值。这在学术论文中非常常用,因为结果更稳健。
混淆矩阵(ConfusionMatrix)
癌症检测。99%的人没病。模型只要全猜“没病”,准确率就是99%,但这个模型是垃圾,因为它漏掉了所有病人。
混淆矩阵把预测结果分成了四类(以检测入侵为例): |真实情况\预测结果|预测:是入侵(Positive)|预测:正常(Negative)| |---|---|---| |真实:是入侵(True)|TP(真阳性)-抓到了攻击者(好!)|FN(假阴性/漏报)-没抓到,放跑了(最危险!)| |真实:正常(False)|FP(假阳性/误报)- 误把正常流量当攻击(很烦人)|TN(真阴性)-平安无事(好!)|
基于这个矩阵,衍生出两个关键指标:
1.查准率(Precision)=\(TP / (TP + FP)\) 含义:你报的警里,有多少是真的狼来了? 场景:垃圾邮件过滤。我们要高查准率,因为不想把重要邮件误判为垃圾邮件(FP代价高)。
2.查全率(Recall)=\(TP / (TP + FN)\) 含义:所有的狼里,你抓到了几只? 场景:地震预测、癌症筛查、入侵检测。我们要高查全率,宁可误报三千,不可漏过一个(FN代价高)。
F1-Score:它是Precision和Recall的调和平均数,用来平衡两者。

模型优化(ModelOptimization)
用什么模型,用什么参数。
针对欠拟合(太笨):
- 增加特征:挖掘更多的数据维度(比如除了“面积”,再加入“朝向”、“楼层”)。
- 增加模型复杂度:线性模型不行就换多项式,或者用深度神经网络。
- 减少正则化:别管得太严,让模型自由发挥一下。
针对过拟合(太聪明/钻牛角尖):
- 更多数据:见多识广了,就不会被个别特例迷惑。(数据质量决定模型表现的上限)
- 正则化(Regularization-L1/L2):给损失函数加一个“惩罚项”。如果模型参数太大、太复杂,就罚分。迫使模型学习更平滑的曲线(奥卡姆剃刀原理)。
- Dropout(仅限神经网络):训练时随机“关掉”一部分神经元。防止模型过于依赖某个特定的路径,增强鲁棒性。
- 早停(EarlyStopping):看着验证集的误差。一旦训练集误差还在降,但验证集误差开始反弹(说明开始背答案了),立刻停止训练。
针对超参数(HyperparameterTuning):
模型里有很多参数不是学出来的,而是你设定的(比如学习率、树的深度)。
- 网格搜索(GridSearch):穷举法。试遍所有组合(慢,但必有解)。
- 随机搜索(RandomSearch):随机试一些组合(通常比网格搜索快且效果不错)。
总结流程
- 拿到数据,先做DataSplitting(训练/验证/测试)。
- 训练一个基础模型。
- 看ConfusionMatrix,分析是Precision低还是Recall低。
- 判断是Overfitting还是Underfitting。
- 使用ModelOptimization技术(正则化、调参)去修正。
- 重复直到满意。
深度学习
多层感知器
之前学的逻辑回归(Logistic Regression),本质上是一个单层的神经网络,它只能画一条直线(分界线)。但现实世界是不讲道理的,数据往往是你中有我、我中有你,像太极图一样纠缠在一起(非线性)。这时候,只给你一把直尺,你怎么把它们分开?这就需要 多层感知器 (MLP, Multi-Layer Perceptron),也就是最基础的深度神经网络 (Deep Neural Networks)。
MLP实现非线性分类
假设坐标系上有四个点:
- (0,0) 和 (1,1) 是第一类(比如红色圆圈)
- (0,1) 和 (1,0) 是第二类(比如蓝色叉叉)
你试着用之前学的逻辑回归,在纸上画一条直线把红蓝分开。结论是不可能。无论你怎么画,总会有分错的。
MLP 的解决思路:既然一把尺子不够,那就给你两把,甚至更多把。
- 第一层(隐藏层):用几把尺子(几个神经元),分别从不同角度去切分数据,画出几条局部的线。
- 第二层(输出层):把刚才切出来的区域进行组合和逻辑判断。
比如:如果一个点“在直线A上方” 且“在直线B下方”,那么它就是红色。这种组合直线的能力,使得 MLP 可以逼近任意复杂的曲线边界。
但是如果你只是单纯地把好几层逻辑回归堆叠在一起,不加任何特殊处理,数学上可以证明,它们最终的效果等价于一层。你堆了一百层,依然只能画直线。因为线性函数的叠加依然是线性的 (\(W_2(W_1x) = W_{new}x\))。
为了引入“弯曲”的能力,我们需要在每一层神经元输出结果之前,给它加一个非线性的“开关”,这就是激活函数。它模拟了生物神经元的特性:只有输入的电信号超过一定阈值,神经元才会被“激活”并向下传递信号。

常见的非线性激活函数:
-
ReLU (Rectified Linear Unit) —— 现代深度学习的标配
-
公式:\(f(x) = \max(0, x)\)
- 人话:“负数全归零,正数保持不变。”
-
作用:极其简单高效,解决了深层网络训练难的问题。隐藏层基本都用它。
-
Sigmoid
-
公式:之前的逻辑回归用过,把数值压缩到 (0, 1) 之间。
- 作用:现在主要用于二分类问题的最后一层输出,因为它输出的就像概率。

Keras
Keras 是目前最流行、最用户友好的深度学习框架(现在是 TensorFlow 的高级 API)。用它搭积木一样构建网络非常简单。我们将解决一个经典的非线性问题:同心圆分类。(具体细节省略,反正能干)
卷积神经网络
卷积(提取特征)-> 池化(压缩数据)-> 全连接(分类)

第一步:卷积层 (Convolutional Layer) —— 提取特征
- 过滤器 (Filter/Kernel):这是一个小的矩阵,你可以把它想象成“特征探测器”。有的探测器专门找“横线”,有的专门找“竖线”,有的找“圆弧”。
- 滑动窗口:这个探测器在原始图片上从左到右、从上到下滑动。
- 点积运算:每到一个位置,它就和图片上的像素做乘法。如果图片这一块的形状和探测器长的很像,乘积就会很大(激活)。
- 层级理解:
- 浅层网络:看到的是线条、边缘、颜色斑点。
- 深层网络:组合线条变成了形状(眼睛、耳朵)。
- 更深层:组合形状变成了物体概念(猫脸、车轮)。
第二步:池化层 (Pooling Layer) —— 压缩简化
提取完特征后,数据量还是太大了。我们需要在保留主要特征的同时,把图片变小。
- Max Pooling (最大池化):在一个小区域里,只取那个最大的数值。
- 直观理解:就像把一张 4K 高清图压缩成 720p。虽然模糊了一点,但你依然能看出那是一只猫。这让模型具有了平移不变性(猫在图片的左上角还是右下角,都不影响识别)。
第三步:全连接层 (Fully Connected Layer) —— 最终决策
经过几轮的“卷积+池化”,原本的图片变成了一组“高度抽象的特征码”(比如:有耳朵=1,有胡须=1,有轮子=0)。这时候,我们把这些特征码拍扁 (Flatten),喂给一个普通的 MLP,让它算出最后的概率:是猫 (90%) 还是狗 (10%)。

目标检测 (YOLO): 不仅知道图里是猫,还能框出猫在哪。
LeNet-5(1998)

输入32*32黑白像素,单层
卷积 -> 池化 -> 卷积 -> 池化 -> 全连接 -> 全连接 -> 输出
激活函数主要用 Sigmoid 或 Tanh(还没发明 ReLU)
池化使用平均池化 (Average Pooling)
只能处理简单的黑白小图,层数很浅(只有 5 层),在复杂的高清彩色照片上表现不佳
AlexNet(2012)

输入 227x227 像素(彩色 RGB),8 层(5 个卷积层 + 3 个全连接层)
创新点:
- ReLU激活函数
- Dropout(全连接层随机“关掉”一半神经元,有效防止了过拟合)
- GPU加速(CTX 580 * 2)
- 数据增强
VGG(2014)

核心设计哲学:全用 \(3 \times 3\) 的小卷积核。
VGG-16 (16层) 和 VGG-19 (19层) 最著名。
卷积-卷积-池化 -> 卷积-卷积-池化 ... -> 全连接。
缺点:参数巨大,吃内存;梯度消失,层数增加,效果反而变差。
ResNet (残差网络)
直接把网络干到 152 层甚至 1000 层。
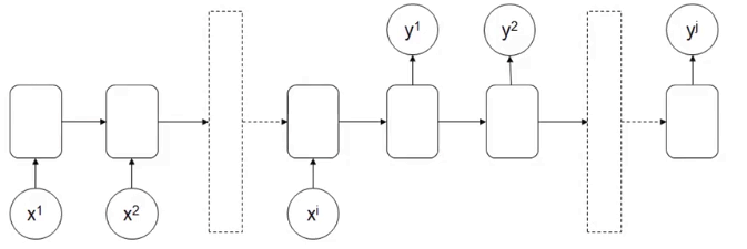
循环神经网络
关注前后序的关系
循环神经网络
无论线性回归、MLP 还是 CNN,它们处理的数据都是“静态”的
如果你要处理一段文字、一段语音、或者股票走势,顺序很重要;“我爱你”和“你爱我”,字都一样,但因为顺序不同,意思截然不同。
MLP/CNN不记得当前数据之前的数据信息,RNN核心是给神经网络加上“记忆”。
今天的记忆 (\(h_t\)) = 激活函数( 今天的输入 \(x_t\) + 昨天的记忆 \(h_{t-1}\) )

不同类型的RNN模型
一对一
其实就是普通的神经网络(MLP/CNN)
图像分类(一张图 -> 一个标签)。严格来说这不算典型的 RNN 应用。
一对多
给一个输入,生成一串序列。
看图说话:输入一张照片,输出:“一只”、“猫”、“坐在”、“沙发上”。

多对一
读完一串序列,最后给出一个结论。
输入一段影评(长序列),输出是正面还是负面(一个标签)。
输入一段视频(多帧图像),输出这是什么运动(比如“打篮球”)。

多对多
同步型 (Tx = Ty):输入和输出长度一样,一一对应。
视频帧级分类(每一帧都打标)、词性标注(输入“我爱AI”,输出“代词/动词/名词”)。
异步型 (Tx \(\neq\) Ty) —— 最著名的 Seq2Seq 模型:
先读完整个输入(Encoder),再开始生成输出(Decoder)。
例如机器翻译。输入:“I love you”(3个词);输出:“Je t'aime”(2个词)。长度不一定要对等。

RNN缺陷
记忆力短

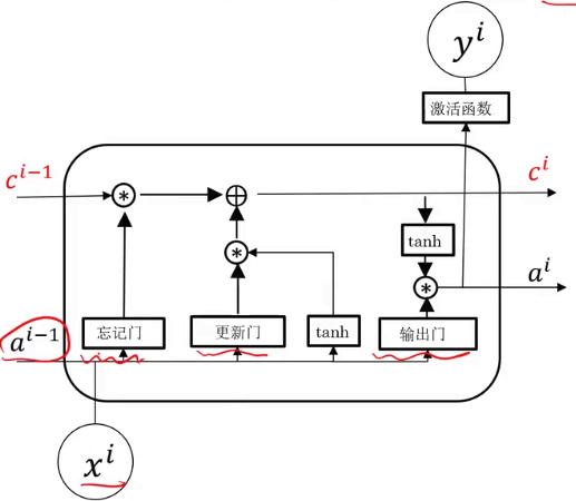
LSTM (Long Short-Term Memory, 长短期记忆网络)

-
遗忘门 (Forget Gate):决定丢弃多少昨天的废话信息。
-
输入门 (Input Gate):决定把多少今天的新信息存入长时记忆。
-
输出门 (Output Gate):决定现在的状态要对外输出多少。

GRU (Gated Recurrent Unit, 门控循环单元)
LSTM 的“精简版”
把 LSTM 的三个门合并简化成了两个(更新门和重置门)。效果和 LSTM 差不多,但是参数更少,计算更快。现在很多工业界应用倾向于用 GRU。
双向 RNN (Bidirectional RNN)
上下文都很重要。两个 RNN,一个从前往后读,一个从后往前读,最后拼起来。这在自然语言处理(NLP)中非常常用
深度循环神经网络(DRNN)
